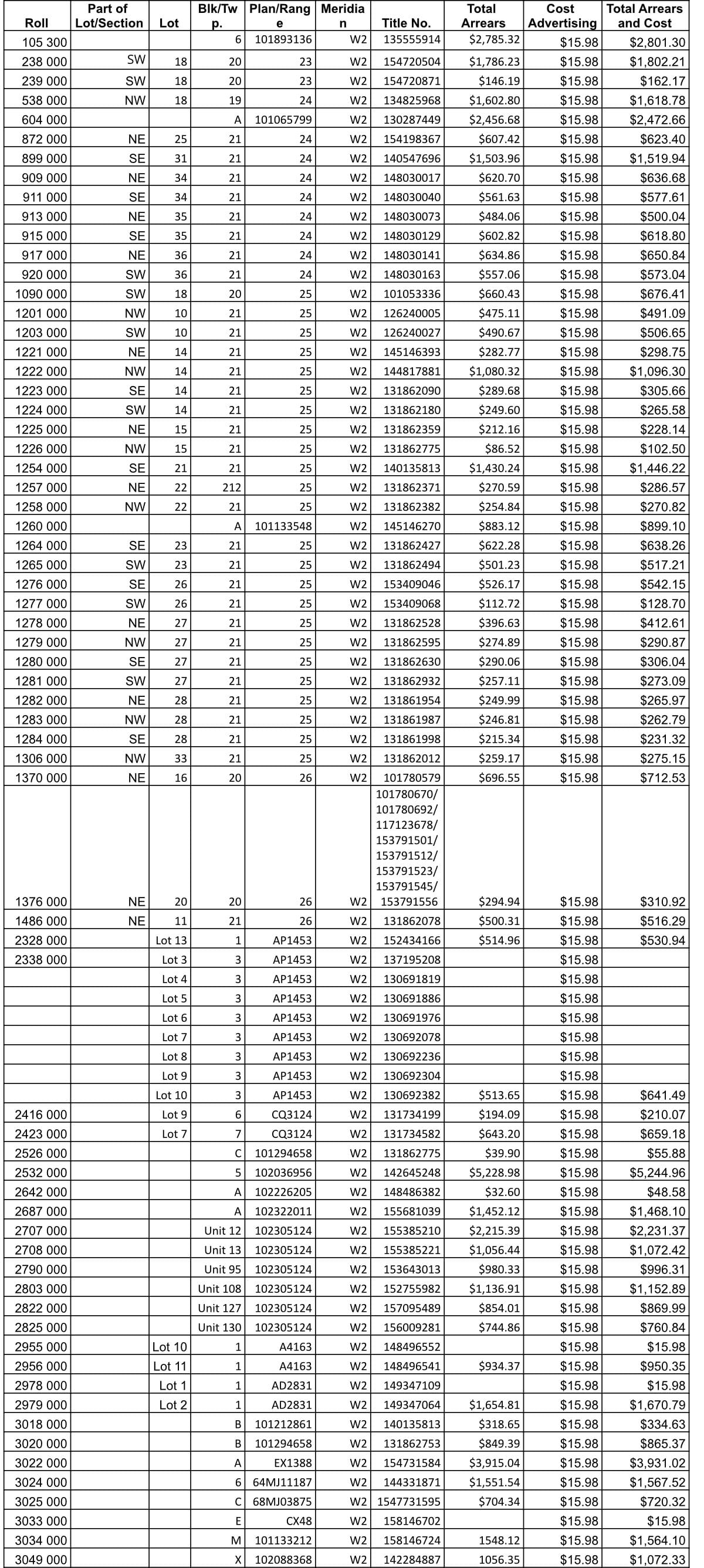
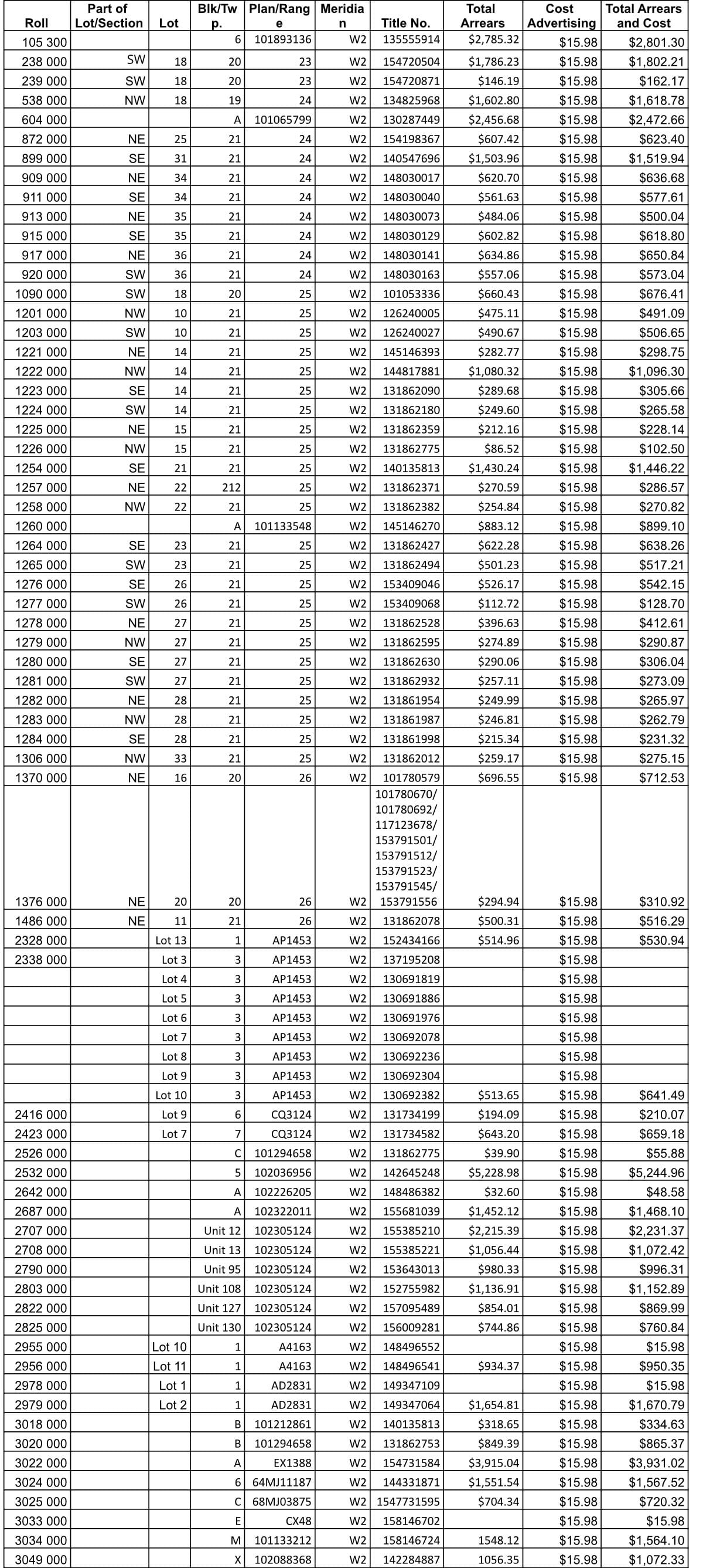
RM Dufferin 190 - Notice of Tax Enforcement
Public Notice
Province of Saskatchewan
Notice is hereby given under the Tax Enforcement Act that unless the arrears and costs appearing opposite the land and title number described in the following list are fully paid before the 10th day of May 2026, an interst based on a tax lien will be registered against the property.
Note: A sum of cost in the amount required by subsection 4(3) of the Tax Enforcement Act is included in the amount showing against each parcel.

Dated this 10th day of March, 2026
Duck, Administrator
Last Mountain Times Newsletter
Join the newsletter to receive the latest updates in your inbox.