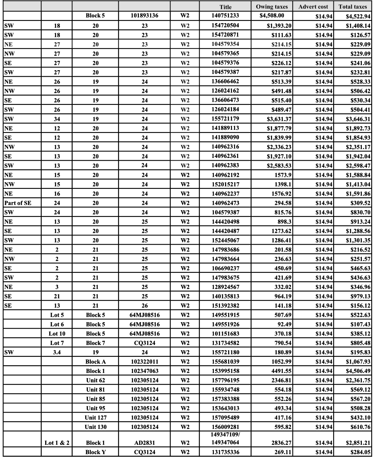
Rural Municipality of Dufferin No. 190 - Notice of Tax Enforcement
Public Notice
PROVINCE OF SASKATCHEWAN
Notice is hereby given under The Tax Enforcement Act that unless the arrears and costs appearing opposite the land described in the following list are fully paid before the 30th day of May 2025, a tax lien will be registered against the property.
Note: A sum for the costs in the amount required by subsection 4(3) of the Tax Enforcement Act is included in the amount shown against each parcel.
Description of Property

Dated this 31st day of March 2025
Tobi Duck, Administrator
Last Mountain Times Newsletter
Join the newsletter to receive the latest updates in your inbox.