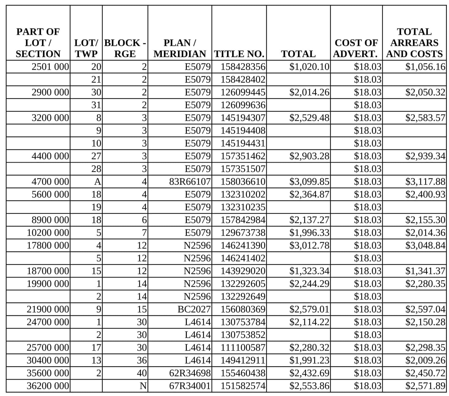
Town of Strasbourg - Tax Enforcement List
Public Notice
March 23 2026
PROVINCE OF SASKATCHEWAN
Notice is hereby given under The Tax Enforcement Act that unless the arrears and costs appearing opposite the land and title number described in the following list are fully paid before the 19th day of May, 2026, an interest based on a tax lien will be registered against the land.
Note: A sum for costs in an amount as required by Subsection 4(3) of The Tax Enforcement Act is included in the amount shown against each parcel.
Property Description

Dated this 18th day of March, 2026
Jennifer Gritzfeld, Treasurer
Last Mountain Times Newsletter
Join the newsletter to receive the latest updates in your inbox.