Village of Quinton - Tax Enforcement List
Public Notice
PROVINCE OF SASKATCHEWAN
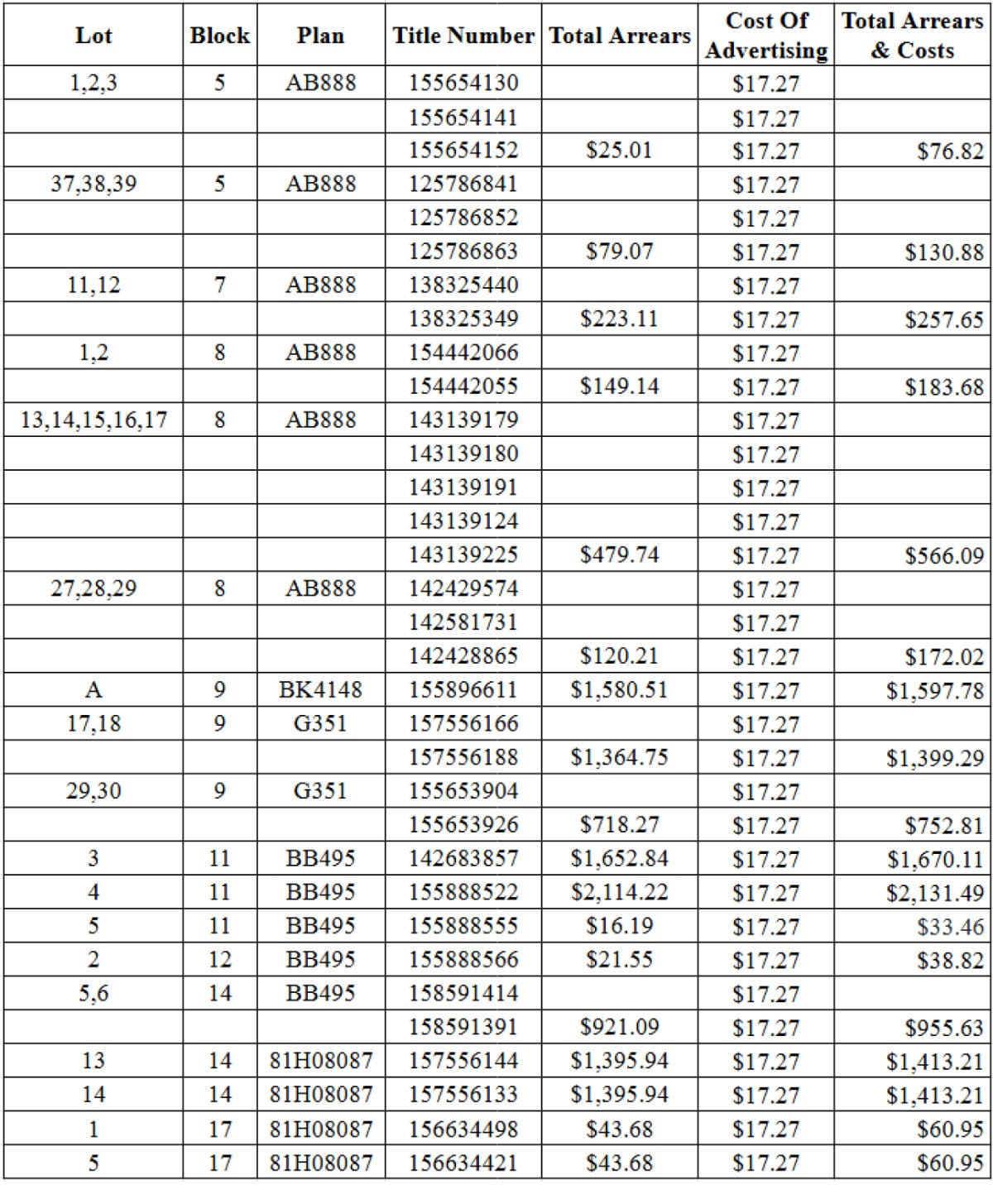
Notice is hereby given under The Tax Enforcement Act that unless the arrears and costs appearing opposite the land and title number described in the following list are fully paid before the 31st day of December, 2025, an interest based on a tax lien will be registered against the land
Note: A sum for costs in an amount required by subsection 4(3) of The Tax Enforcement Act is included in the amount shown against each parcel.
Description of Property

Village of Quinton
Last Mountain Times Newsletter
Join the newsletter to receive the latest updates in your inbox.